2019上海一分一段表发布!本科线以上有35569人,70%考生可上本科
免费提供最新落户政策及一对一落户方案
留学生/应届生/非婚子女 落户咨询

(2019上海一分一段表发布!本科线以上有35569人,70%考生可上本科)

2019年上海高考分数线已经出炉,上海本科分数线为403分,自主招生为503分,艺术类262分,体育类282分,其中上海市高考本科成绩满分为660分。而今天,备受上海考生和家长期待的高考一分一段成绩表也出炉啦!

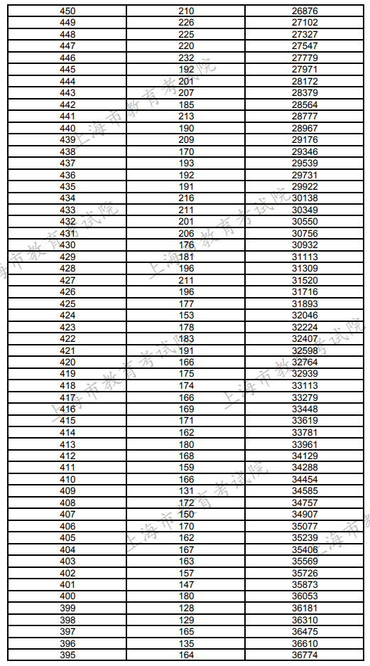
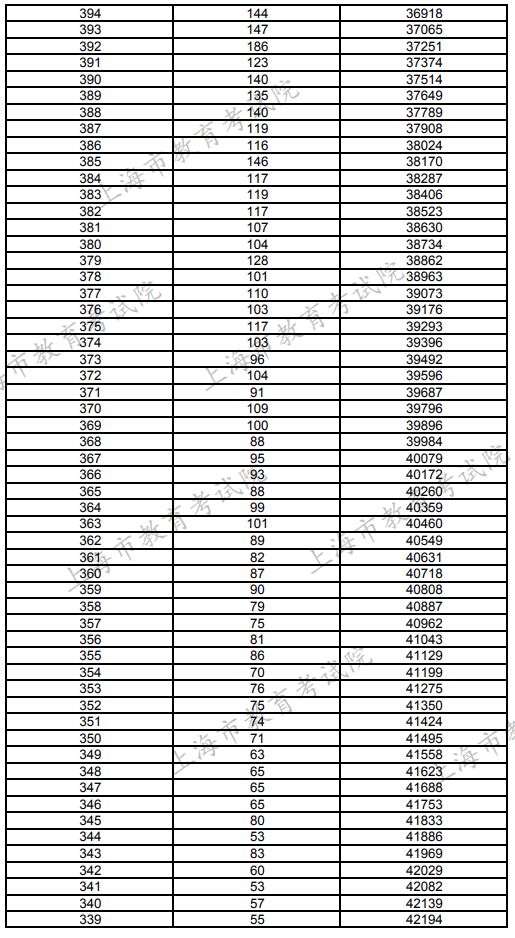
从一分一段的统计表中我们可以看到,本科线以上有人,自主招生线以上有人。而多年来,上海的高考人数一直都在5万左右徘徊,而本科线以上就有人,说70%以上的考生可上本科!这一数据可是吓呆了网友,要知道很多省份的本科录取率都比这个数据低不少。以四川为例,今年的本科录取率为为37.548%。
那下面我们一起来看看上海高考一分一段表吧:







最后祝愿上海的考生都能金榜题名,考进自己理想的大学!
举报/反馈
声明:本站部分内容和图片来源于互联网,经本站整理和编辑,版权归原作者所有,本站转载出于传递更多信息、交流和学习之目的,不做商用不拥有所有权,不承担相关法律责任。若有来源标注存在错误或侵犯到您的权益,烦请告知网站管理员,将于第一时间整改处理。管理员邮箱:y569#qq.com(#转@)
此文关键字:
推荐文章
- 上海事业编落户(门槛放宽这些毕业生符合基本条件可直接落户上海,无需“打分”)
- 想去上海杉达学院 但是想问一下它的本科毕业证会不会有第一学历歧视呢 求答 ?
- 全日制大专毕业生,毕业之后可以选择成人高考专升本吗?
- 上海某中学教师晒工资收入,金额引人羡慕,难怪毕业生争相应聘
- 大专毕业想提升学历,选择哪一种比较好?不用出国一年制的马来西亚硕士如何?
- 高校毕业生创业补贴政策
- 2022征兵政策出现调整,身高要求与过往不同,对专科生更有利
- 分数刚上一本填志愿,推荐上海三所本科学校!大城市可落户
- 1名毕业生有3
- 大专能教小学吗?
- 本科生毕业延期了,研究生可以正常入学吗?
- 「本科直接申请国外PhD」详解
热门文章
- 深圳公安呼吁:居民办户政和出入境业务,尽量网上办理
- 2016年深圳积分入户条件及政策怎么办理积分入户
- 深圳人社局:这10万元创业补贴免费领取一次性到账
- 重磅!非深户错过时间没学位!深圳这个区2020小一学位申请指南!
- 深圳:打造国际风投创投中心 吸引风投创投机构落户
- 很多人都还不知道的可走公安系统的纳税入户方式
- 早安深圳|应届毕业生、有学历入户深圳政策
- 你知道什么是挂靠社保吗?
- 深户想成功申请公租房,记得进行这个操作
- 深圳入户
- 非全日制大专怎么入深户?3种办法帮你解决
- 居住证有望成为深圳特区绿卡
最新文档
- 请问往届毕业生可以考选调生吗?如果可以需要什么条件?
- 上大学要不要转户口。我被上海立信会计学院专科录.
- 第二轮抢人大战?两座新一线城市又出新政:不是本科,也算人才
- 复旦大学博士(从专科到复旦博士)
- 重磅!QS世界排名Top20院校宣布:我们只认可这些中国本科院校!
- 赚钱套路新升级!大专生力证自己努力学习,每天直播考研
- 本科迁到了学校集体户口,应届跨省读研,户口应该怎么从本科学校迁到研究生学校?
- “离沪潮”后出现“返沪潮”,为挽回人才,这类毕业生可落户
- 北大清华本科毕业生可直接落户上海,连复交都被歧视了?
- 通过什么方式学习可以快速获得本科学历
- 我是10年大专毕业,工作一年了,感觉学历不够,想升本,能升吗?
- 上海成人自考大专报名条件有哪些
